El modelo es de tres factores. Dos fijos y cruzados (Hospital y Aparato) y un tercero aleatorio y anidado en la interacción de los otros dos.
El modelo sería el siguiente:
La tabla ANOVA y la estimación de los parámetros es el siguiente:
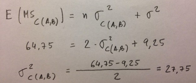
En concreto, el cálculo de la componente de la varianza del factor operario anidado dentro de la interacción de los otros dos, es el siguiente:
En la tabla ANOVA puede comprobarse cuáles son los cocientes de los cuadrados medios. Para verificar que son los adecuados es recomendable ver el resultado de aplicar el algoritmo de Bennet-Franklin de este modelo. Puede verse en este enlace el algoritmo aplicado a este modelo concreto.
Como puede apreciarse, el único factor significativo es realmente el factor Operario. Por lo tanto, a efectos prácticos, hará falta enseñar bien el funcionamiento de estos sistemas para su más eficaz aplicación.


