Solución Situación 42

La primera parte del problema es un caso de dos factores aleatorios cruzados. Ver el modelo ANOVA de dos factores a efectos aleatorios.

Si se comprueba la normalidad con el Test de Shapiro-Wilk y la homogeneidad de las varianzas con el Test de Barlett se comprueba que estamos bajo las condiciones exigidas para la aplicación de los contrastes de hipótesis asociados a un modelo ANOVA.

La tabla ANOVA con los cocientes de cuadrados medios adecuados y la estimación de los parámetros son los siguientes:

IMG_7172

Tanto el factor Preparación como el factor Operario son factores significativos. La interacción no lo es.

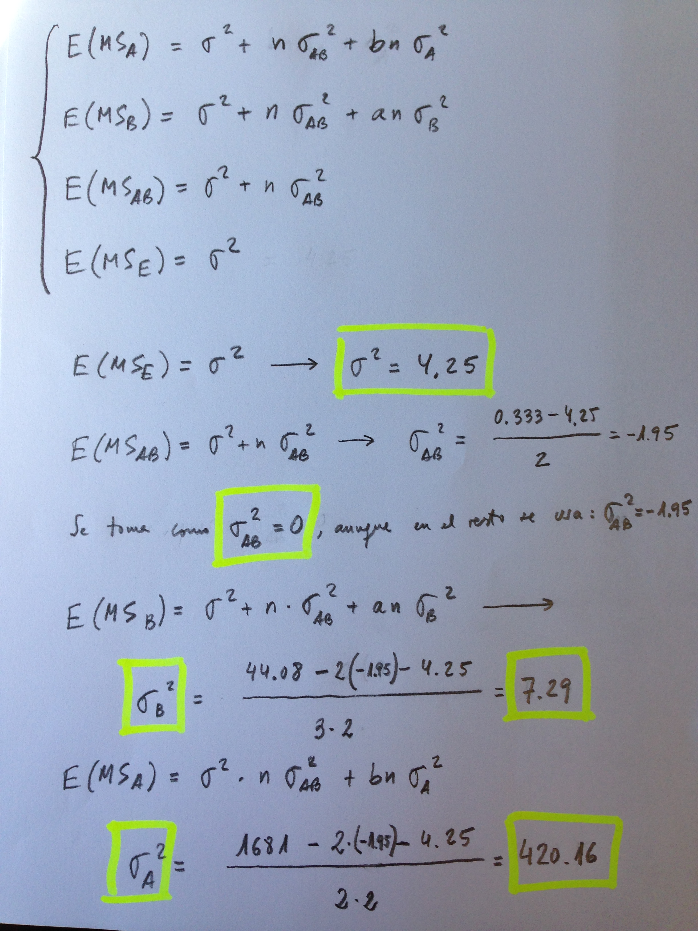
El cálculo de las componentes de la varianza será esencial a la hora de ver cuál es el elemento que introduce más variación. La interacción ya vemos que la variación que introduce no es significativa. La variación residual es 4.25. Ahora lo que hace falta ver es las otras dos. Por eso se estiman. El -1.95 de la interacción es un artefacto de la forma de estimación. En realidad, se considera 0. Veamos cómo se realiza, a partir de las esperanzas de los cuadrados medios, la estimación de estas componentes de la varianza:

IMG_7174

Como puede apreciarse la principal componente de la varianza es la aportada por la preparación. La forma en la que hacemos la preparación es realmente lo que hay que plantearse porque es lo que realmente introduce una variación enorme. Si queremos reducir la variabilidad debemos focalizar en el método seguido en las preparaciones.

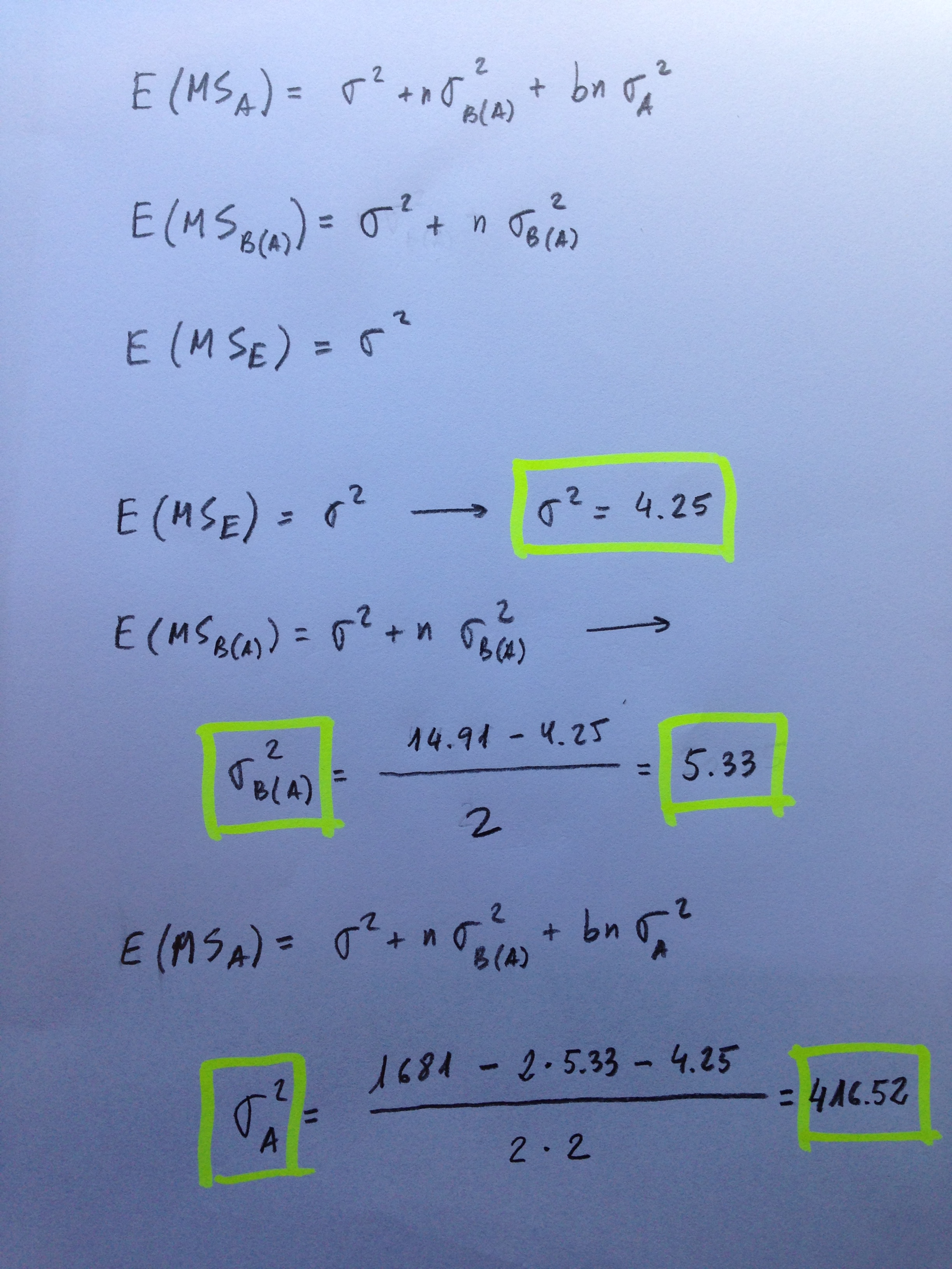
Veamos, ahora, la segunda parte del problema. Ahora, al trabajar con 6 operarios que analizan dos a dos para preparación, el modelo para a ser de dos factores anidados. Ver el modelo ANOVA de dos factores anidados a efectos aleatorios.

La tabla ANOVA y las componentes de la varianza son, ahora:

IMG_7175

El factor significativo es, ahora, únicamente la Preparación. Operario ya no lo es. Podemos estimar las componentes de la varianza. Incluso la de Operario dentro de Preparación, aunque no sea significativa y seguimos viendo que la principal componentes de la varianza se la lleva la preparación, como antes.

A continuación puede verse cómo se calculan estas estimaciones de las componentes de la varianza:

IMG_7176

2 comentarios en “Solución Situación 42

  1. Avatar de IreneIrene

    Hola,
    En els càlculs de les variàncies, què és el terme «n» exactament?.
    Els termes «a» i «b» són els nivells de dits factors?
    Moltes gràcies.

    Responder

Deja un comentario