Tema 22: REGRESIÓN DE COX

1. La Regresión de Cox se ha transformado, en los últimos años, en un instrumento de análisis estadístico muy utilizado, especialmente en el ámbito de la Medicina. En ese tipo de Regresión el interés es buscar variables independientes que se relacionen con variaciones en la función de supervivencia, o en la función de riesgo, de unos individuos respecto a un determinado suceso estudiado.

2. Estamos, pues, realmente, ante una Regresión. Una Regresión ciertamente especial porque el tiempo está siempre presente y porque la variable dependiente es siempre una función de riesgo o una función de supervivencia.

3. Con la Regresión de Cox se pretende, pues, detectar alguna relación entre el riesgo de que se produzca un determinado suceso estudiado (muerte, recidiva de un tumor, fracaso de un implante dental, diagnóstico de hipertensión, etc.), y una o varias variables independientes o explicativas.

4. La Regresión de Cox trabaja especialmente con la función de riesgo (Hazard función) que ya hemos visto en el tema dedicado al Análisis de supervivencia, pero, como veremos, cuando hablemos de función de riesgo podremos trasladar perfectamente las conclusiones a nivel de función o curva de supervivencia.

5. Se han desarrollado distintos modelos matemáticos que pretenden establecer una especie de desglose entre lo que podríamos llamar una función de riesgo subyacente, o pura, y un efecto de otras variables independientes explicando cambios en esta función de riesgo. En general, este modelo general se suele escribir así:

IMG_4818

6. En concreto, la Regresión de Cox consiste en el siguiente caso concreto de esta relación, el expresado por la siguiente función:

IMG_4818

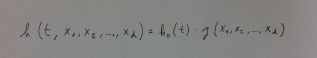
7. Aunque ésta es la forma en la que suele escribirse el modelo de la Regresión de Cox, desde un punto de vista matemático lo correcto es escribirlo como una función de varias variables y, por lo tanto, quedarían, tanto la función general como la más concreta, en realidad, así:

IMG_4911

IMG_4911

8. Veremos luego, al visualizar estas funciones, al ver su representación, cómo estamos realmente tratando con funciones de varias variables. De la variable tiempo, siempre presente aquí, y de una o más variables independientes.

9. La Regresión de Cox nos permite evaluar, pues, de entre un conjunto de variables independientes candidatas, cuáles de ellas tienen una relación, una influencia, significativa, sobre la función de riesgo. Y, en definitiva, evidentemente, también, sobre la  función de supervivencia, porque ambas funciones están íntimamente conectadas.

10. El instrumento fundamental de la Regresión de Cox es el Hazard ratio, la razón de riesgos, que no es más, como ya hemos visto en el tema dedicado al Análisis de supervivencia, que el cociente entre dos funciones de riesgo.

11. Supongamos, para simplificar las cosas, un caso de Regresión de Cox con una única variable independiente. El modelo sería, ahora, escrito ya en forma de función de dos variables (el tiempo y una única variable independiente), el siguiente:

IMG_4915

12. La función Hazard ratio, en este caso, será la relación entre las dos funciones de riesgo que se establece en función de los cambios operados en esta variable independiente x.

13. Es importante comparar la Regresión de Cox con la Regresión logística. En la Regresión logística la variable dependiente dicotómica se ponía en relación con una variable independiente sin contemplar el tiempo o contemplándolo sólo de forma estática, viendo en un punto fijo del tiempo si el suceso estudiado ha acontecido o no, pero no teniendo en consideración en qué momento ha sucedido. Se llegaba a una situación como la siguiente (Ver el tema dedicado a la Regresión logística):

IMG_4886

14. En la Regresión de Cox la variable dependiente dicotómica (ha sucedido o no el acontecimiento estudiado: muerte, recidiva, fracaso de un implante dental, diagnóstico de hipertensión, etc) no se analiza desglosada del tiempo, se analiza en el tiempo, en el momento de aparición, si es que aparece. No mira un punto fijo del tiempo para ver si ha acontecido o no el suceso estudiado, sino que se contempla en qué momento ha sucedido.

15. El Análisis de la Regresión de Cox es, pues, más fino. No analiza en un momento temporal si tal acontecimiento ha sucedido o no ha sucedido sino cuándo ha sucedido, si es que ha sucedido, y comparar esa función respecto a una o varias variables independientes. Por todo esto la Regresión logística trabaja con la Odds ratio y la Regresión de Cox con la Hazard ratio (Ver el artículo Odds ratio versus Hazard ratio).

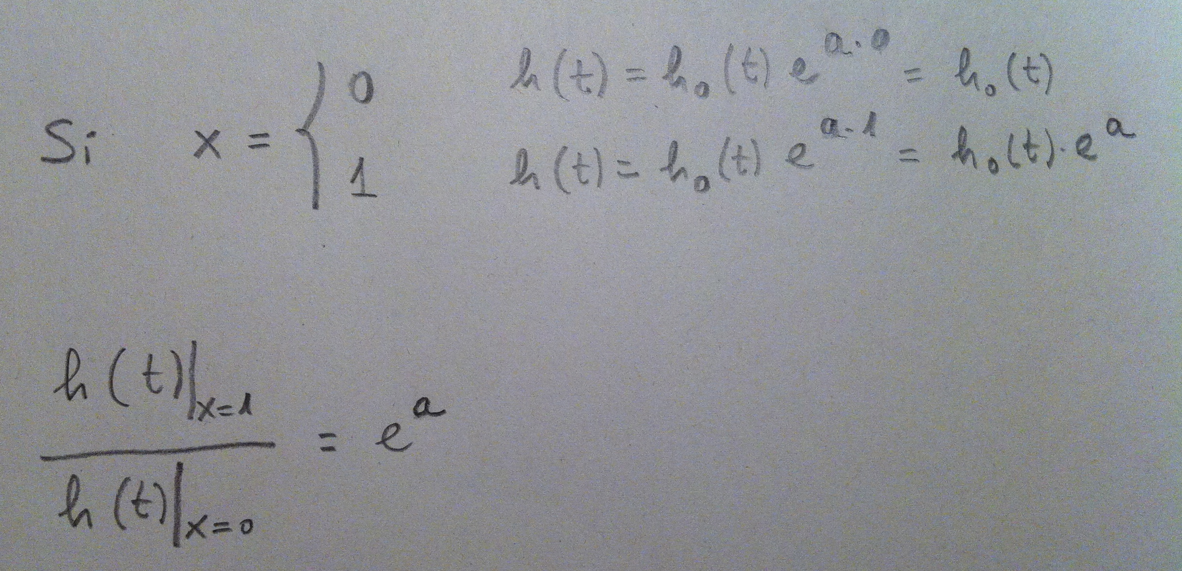
16. Veamos, con un cierto detalle, qué sucede si la variable independiente x, en la Regresión de Cox, es dicotómica:

IMG_4891

17. La variable independiente tiene así únicamente dos valores (el 0 y el 1). Si aplicamos la fórmula de la Regresión de Cox y luego hacemos el cociente de ambas funciones de riesgo observamos que obtenemos el valor Exp(a). Veamos cómo se entiende, gráficamente, el valor de este coeficiente a:

IMG_4892

18. Veamos ahora una variable independiente continua, una variable con muchos valores posibles:

IMG_4893

19. Y veamos cómo se entiende gráficamente:

IMG_4894

20. Suele trabajarse con las funciones de riesgo en la Regresión de Cox pero evidentemente lo mismo que se ve con ellas se podría ver con las funciones de supervivencia. Veamos en el siguiente gráfico el equivalente al anterior donde la variable x era dicotómica pero ahora respecto a la función de supervivencia S(t) no respecto a la función de riesgo h(t):

IMG_4921

21. Puede observarse perfectamente cómo cambia según la x valga 0 ó 1 la pendiente de la función de supervivencia. En el caso de arriba al pasar de 0 a 1 la supervivencia aumenta. En el caso de abajo al pasar de 0 a 1 la supervivencia disminuye. Contrariamente a lo que sucedía al tratar con la función de riesgo.

22. Veamos todo esto pero con un ejemplo numérico. Supongamos que tenemos los siguientes tiempos hasta la muerte de personas que respecto a una variable x tenemos los valores 2, 4 y 6. Veamos los datos concretos:

IMG_4920

23. Marco con tres colores distintos a los individuos que tienen el valor 2, 4 y 6 de la variable x. Estos valores están ordenados según tengan cada uno de estos tres valores de la variable x y dentro de estos valores están ordenados por tiempos de vida. Se puede ver perfectamente que los individuos con valores mayores de x viven más, hay un progresivo aumento de tiempo de vida al aumentar el valor de x. Claro que hay que viven poco y que viven mucho en los tres grupos, pero los tiempos bajos son más bajos cuando la x es 2 y los tiempos altos son más altos cuando el valor de x es 6.

24. Esto se refleja en el gráfico siguiente donde se dibujan las tres curvas de supervivencia en los mismo colores. Se ve que la curva roja refleja una supervivencia menor que la verde y ésta menor que azul. La curva roja cae rápidamente, la verde lo hace más lentamente y la azul tarda más que las otras en caer:

IMG_4922

25. Esto es lo que busca la Regresión de Cox: detectar este tipo de relaciones. Detectar que la curva de supervivencia o la función de riesgo cambia según los valores de una o más variables independientes. Trata de captar este tipo de regularidades. Y esto, evidentemente, tiene una importancia extraordinaria en muchos campos del conocimiento, especialmente en Medicina donde se ha transformado en una herramienta de análisis fundamental.

14 comentarios en “Tema 22: REGRESIÓN DE COX

  1. Avatar de RobertoRoberto

    Muchas gracias por la clara y resumida explicación. Acabo de llegar a tu blog buscando ayuda para el análisis de mi tesis doctoral y creo que voy a usar mucho de todas estas explicaciones que das aquí y en el resto del blog. Me es muy muy útil. De nuevo muchas gracias.

    Responder
  2. Pingback: Herramientas estadísticas en Medicina (Una hoja de ruta) | LA ESTADÍSTICA: UNA ORQUESTA HECHA INSTRUMENTO

  3. Avatar de JoseJose

    Hola tu blog es una maravilla. Estoy interesado en los analisis de supervivencia y en especial la Regresion de Cox. He visto en la red este articulo, que junto a tu Tema me aclara bastante como interpretar esta tecnica estadistica:

    Haz clic para acceder a cox_model.pdf

    En la pagina 7 de dicho articulo, habla sobre otros modelos empleados, en concreto el parametric proportional hazards model, que establece las misma suposiciones que la regresion de cox pero asume que la baseline hazard function h(0) puede ser parametrizada acorde
    a una de las funciones mencionadas: Exponential, Weibull o Gompertz.

    Mi peticion seria, podrias tratar un tema sobre este parametric proportional hazards model?

    Gracias, y enhorabuena por tu Blog.

    Jose.

    Responder
  4. Avatar de Roberto CagigasRoberto Cagigas

    He encontrado este documento , una lectura rápida de el, me motiva a profundizar , respecto a un comportamiento en balances hidráulicos en el tiempo, con mediciones disponibles. Excelente abordaje del tema.

    Responder
  5. Pingback: ¿Qué es Informática Médica? – informatica médica y bioestadistica

Deja un comentario